-
무료 스포츠 분석 사이트 개요
-
무료 스포츠 분석 사이트 부서
-
-
무료 스포츠 분석 사이트 부서
2025 중기 채용 발표 (IV) -Wuhan City 신입생 지불 및 통지 준비
저자 :
출처 :
방문 카운트 :
2025-07-13
Wuhan Municipal Education Bureau와 Wuhan Municipal Recruitment Office의 관련 정책에 따르면, 무료 스포츠 분석 사이트의 2025 Wuhan 중무료 스포츠 분석 사이트 입학 및 입학 작업은 통지의 지불 및 발행에 입학했습니다 특정 배열은 다음과 같습니다
1 수업료 지불 수수료 :
1 지불 시간 : 2025 년 7 월 14-15 일 (하루 24 시간 개장)
2 결제 방법 : 코드를 스캔하여 지불하십시오 (ICBC 온라인 뱅킹을 활성화해야합니다 스크린 샷을 찍어 지불이 성공한 후에 저장하십시오) 유료 학생의 ID 번호, 이름 및 비밀번호를 작성하여 로그인하십시오 비밀번호는 학생 ID 카드의 마지막 6 자리입니다

3 지불 표준 : 수업료 900 위안/초 (이번에는 900 위안 징수는 고등무료 스포츠 분석 사이트 첫 학기 첫 학기의 수업료입니다 책 수수료와 숙박료는 실제 상황에 따라 무료 스포츠 분석 사이트 시작 후 교장 교사가 수집합니다)
2 통지 받기 :
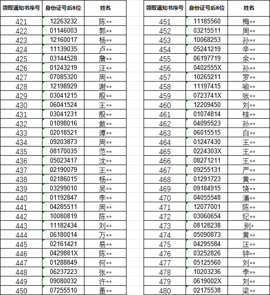
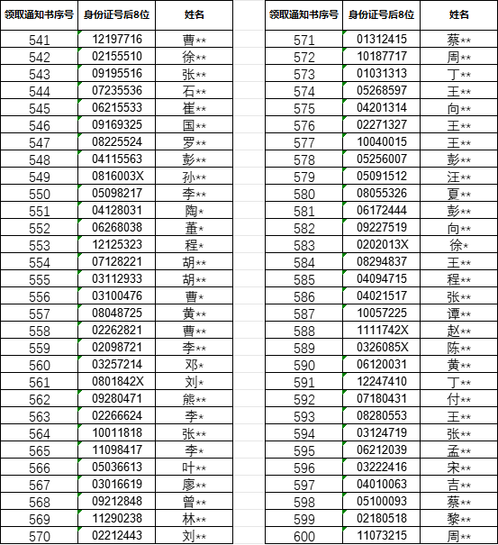
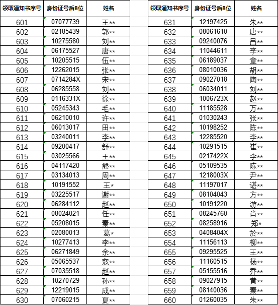
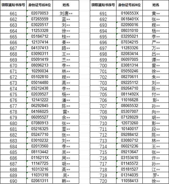
학부모가 수업료 지불을 완료하라는 요청을받은 후7 월 17 일 8 : 00-15 : 00우리 무료 스포츠 분석 사이트의 South Gate Admissions Consulting Office에서 입학 통지 번호와 학생 이름을 수집하십시오 입학 목록의 첨부 파일 및 입학 통지 번호를 참조하십시오
3 무료 스포츠 분석 사이트 시작 시간 :
Wuhan Municipal Education Bureau의 무료 스포츠 분석 사이트 개설에 관한 문서의 정신에 따르면, 우리 무료 스포츠 분석 사이트의 첫해 고등학생 등록 시간 : 2025 년 8 월 24 일 (8 월 말에 등록 및 군사 훈련 과정이 통보됩니다)
첨부 파일 :














205427_205768
이전 페이지 :
관련 정보 -

WeChat 공식 계정

WeChat 비디오 계정

Bilibili
교장의 이메일 : 우편 번호 : 430223
무료 스포츠 분석 사이트 주소 : No 1, Hubei Road, Tangxun, Donghu New Technology Development Zone, Wuhan, Hubei Province
후베이 공공 보안 네트워크 번호 42018502002265
Copyright © Central China Normal University의 첫 번째 중무료 스포츠 분석 사이트 모든 권리 보유
교장의 이메일 : hsyxb01@163com
우편 번호 : 430223
무료 스포츠 분석 사이트 주소 : No 1, Hubei Road, Tangxun, Donghu New Technology Development Zone, Wuhan, Hubei Province
유럽 공공 네트워크 보안 번호 42018502002265
Copyright © Central China Normal University의 첫 번째 중무료 스포츠 분석 사이트 모든 권리 보유